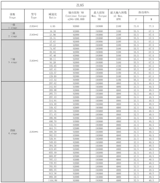
ZL85 Planetary Gearbox Reducer is a type of gear reducer that uses planetary gears to achieve speed reduction. It is widely used in various industrial applications due to its high precision, durability, compact structure, and low noise operation.



The ZL85 Planetary Gearbox Reducer is designed with high precision transmission that enables accurate and efficient power transfer.
The reducer is made of high quality materials that make it capable of withstanding harsh operating conditions and heavy loads.
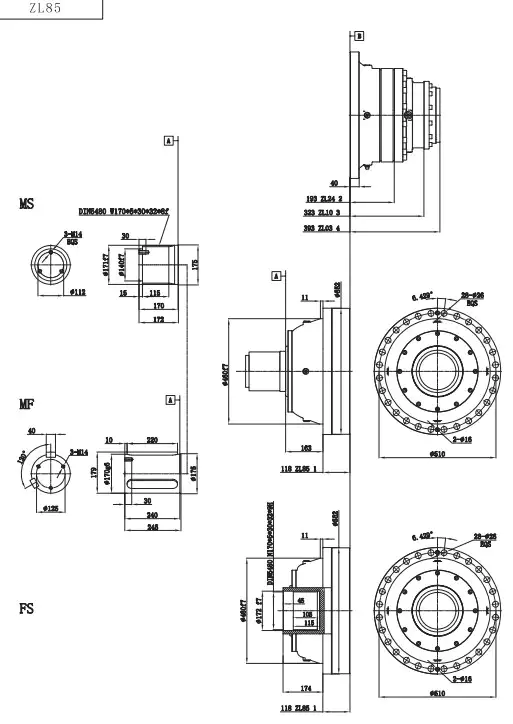
The compact structure of the reducer makes it easy to install and maintain.
The reducer is designed to operate with low noise levels, making it ideal for noise-sensitive applications.
The ZL85 Planetary Gearbox Reducer has high efficiency and energy-saving capabilities, making it an ideal choice for reducing power consumption and costs.
The reducer is designed to be durable and resistant to wear and tear, resulting in a longer service life than other gear reducers.
The reducer is designed to operate reliably under various operating conditions, making it a reliable choice for industrial applications.

ZL85 Planetary Gearbox Reducer has a wide range of applications, including:
To order a ZL85 Planetary Gearbox Reducer, please provide the following information:
Please provide details on the application requirements and the operating environment for which the reducer will be used.
Please provide the basic parameters required for the reducer.
Please specify the installation and connection method for the reducer.
Please provide the specific dimensions of the installation space for the reducer.
Please specify the surface treatment required for the materials.
Please provide any other requirements for the reducer.

The ZL85 Planetary Gearbox Reducer is shipped without lubricating oil. The surface is treated with rust-proof paint. If other special coatings are required, please notify us in advance. For long-term storage, please apply grease. The reducer is packaged in a wooden box to prevent damage during transportation.
Author: Miya
Address
Luotuo Industrial Area, Zhenhai District, Ningbo City, China
Tel
